
Product center
Contact us
首页
发布时间:2019-12-04 阅读量:
在机械运动控制的中,精密行星减速机是一个机械能的转换环节,电机的转矩经精密齿轮减速机后得以放大,转速得以降低,反之,负载的转动惯量经精密齿轮减速机耦合到电机上,得以减小。其作用见下图B-1

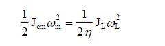
我们知道,理想的情况是传递过程功率守恒,但实际总是有损耗,设传递过程的效率是η,那么:TmWm/η=TL WL
又因为减速比i=Wm/ WL WL = Wm / i(B-1)
所以TL =iηTm(B-2)
Tm——电机力矩(NM),TL——载荷力矩(NM),
Wm,WL——电机,载荷角速度(弧度/s)
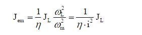
我们再来看一下齿轮减速器对转动惯量的作用,由能量不灭的基本原理,在传动链中,同一时刻的储能相等:

从而得出:
(B-3)
Jem——折算到电机轴上的等效转动惯量(kgm2)
JL——载荷转动惯量(kgm2)
从上述推演可看出,平时我们很熟悉的关于齿轮箱的公式,都是源自物理学的能量守恒定理。
上述的(1)—(3)表示了减速机的三个基本功能:
1.降低伺服电机的转速(WL)
伺服电机的额度功率一般体现在转速1000rpm到6000rpm之间,甚至高达10000rpm以上,实际使用过程中很少使用到如此高的转速,同时为了充分利用电机的额定功率,所以需要通过合适减速比的减速机来获得需要的工作转速。
2.转矩放大(TL)
在电机输入给减速机的功率一定的情况下,由于减速机输出速度的降低,必然会获得更大的输出转矩。很多情况下这也是巴普曼工业科技选用减速机的一个重要理由。
3.匹配负载转动惯量(Jem)
伺服电机的惯量是比较小的,一般来说折算到伺服电机本身的负载惯量不能超过伺服电机本身惯量的4倍(不同品牌伺服电机的设计有很具体的数据),而实际应用中的负载有很多种,如果负载的惯量与电机能接受的惯量相差太远,就会大大降低伺服电机的响应速度,从而影响生产效率和增大动态误差。而行星减速机就能起到匹配惯量的关键作用。